zhufn
搜索
Search
暗色模式
亮色模式
阅读模式
探索
Home
❯
04 其他
❯
数理统计急急急
❯
概率论复习
概率论复习
2025年12月12日
1分钟阅读
目录
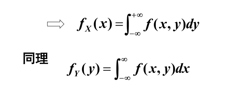
边缘分布律
条件概率
独立性
一些n维随机变量的概念和结果
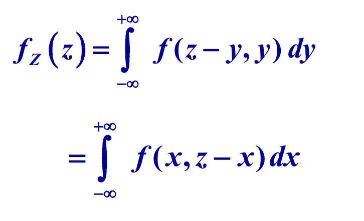
求Y=g(x)的分布
边缘分布律
条件概率
独立性
一些n维随机变量的概念和结果
求
Y
=
g
(
x
)
的分布
目录
边缘分布律
条件概率
独立性
一些n维随机变量的概念和结果
求Y=g(x)的分布